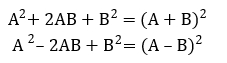
การแยกตัวประกอบของพหุนามดีกรีสองที่เป็นกำลังสองสมบูรณ์ ในกรณีทั่วไป ถ้าให้ A แทนพจน์หน้า และ B แทนพจน์หลัง จะแยกตัวประกอบของพหุนามดีกรีสองที่เป็นกำลังสองสมบูรณ์ได้ตามสูตร
ดังนี้

ตัวชี้วัด
ค1.2 ม.2/2 เข้าใจและใช้การแยกตัวประกอบของพหุนามดีกรีสองในการ แก้ปัญหาคณิตศาสตร์
จุดประสงค์การเรียนรู้
1. ด้านความรู้ ความเข้าใจ (K)
- นักเรียนสามารถวิเคราะห์ อธิบายขั้นตอนการแยกตัวประกอบของพหุนามที่เป็นกำลังสองสมบูรณ์
2. ด้านทักษะ/กระบวนการ (P)
- นักเรียนสามารถสื่อสารและสื่อความหมายโดยใช้ภาษาและสัญลักษณ์ทางคณิตศาสตร์ เกี่ยวกับการแยกตัวประกอบของพหุนามที่เป็นกำลังสองสมบูรณ์
3. ด้านคุณลักษณะ เจตคติ ค่านิยม (A)
- นักเรียนมีความมุมานะในการแยกตัวประกอบของพหุนามที่เป็นกำลังสองสมบูรณ์
วิธีการ
1) สังเกตจากการตอบคำถามขณะอภิปราย
2) การตอบคำถามในใบแบบฝึกหัดที่ 3
เครื่องมือ
- แบบประเมิน KPA